Proceedings

Cover Gallery

Challenges in Water Electrolyzer
Challenges in Water Electrolyzer
Ru-Embedded Carbon Fabric
Ru-Embedded Carbon Fabric
Amine Chemistry of Porous CO2 Adsorbents
Amine Chemistry of Porous CO2 Adsorbents
Boronization of Nickel Foam for Sustainable Electrochemical Reduction of Nitrate to Ammonia
Boronization of Nickel Foam for Sustainable Electrochemical Reduction of Nitrate to Ammonia
How Reproducible are Surface Areas Calculated from the BET Equation?
How Reproducible are Surface Areas Calculated from the BET Equation?
Extensive Screening of Solvent-linked Porous Polymers through Friedel-Crafts Reaction for Gas Adsorption
Extensive Screening of Solvent-linked Porous Polymers through Friedel-Crafts Reaction for Gas Adsorption
Alkyl-linked porphyrin porous polymers for gas capture and precious metal adsorption
Alkyl-linked porphyrin porous polymers for gas capture and precious metal adsorption
Quantifying the nitrogen effect on CO2 capture using isoporous network polymers
Quantifying the nitrogen effect on CO2 capture using isoporous network polymers
Direct Access to Primary Amines and Particle Morphology Control in Nanoporous CO2 Sorbents
Direct Access to Primary Amines and Particle Morphology Control in Nanoporous CO2 Sorbents
Enhanced Sorption Cycle Stability and Kinetics of CO2 on Lithium Silicates Using the Lithium Ion Channeling Effect of TiO2 Nanotubes
Enhanced Sorption Cycle Stability and Kinetics of CO2 on Lithium Silicates Using the Lithium Ion Channeling Effect of TiO2 Nanotubes
  • CO2 adsorption studies on prussian blue analogues

    F. Karadas, H. El-Faki, E. Deniz, C. T. Yavuz, S. Aparicio, M. Atilhan
    Micropor. Mesopor. Mat., 162, 91-97
    2012
    CO2 adsorption studies on prussian blue analogues
    Carbon dioxide (CO2) adsorption capacities of several Prussian blue (PB) analogues have been studied using the state-of-the-art Rubotherm® sorption apparatus to obtain adsorption and desorption isotherms of these compounds up to 50 bar. The analogues were prepared by simply reacting a [M(CN)6]3− (Mdouble bondCo, Fe) solution with solutions of M2+ (Mdouble bondMn, Fe, Co, Ni, Cu) metal ions. Characterization of the studied samples has been performed by using a combination of powder XRD, TGA, FTIR, and CHN elemental analysis. Adsorption capacities of PB analogues calculated with theoretical calculations, using Monte Carlo approach, have also been compared with the experimental study, and used to discuss the molecular mechanism of adsorption.
  • Arsenic removal by magnetic nanocrystalline barium hexaferrite

    H. A. Patel, J. Byun, C. T. Yavuz
    J. Nanopart. Res., 14 (7), 881
    2012
    Arsenic removal by magnetic nanocrystalline barium hexaferrite
    Nanoscale magnetite (Fe3O4) (<15 nm) is known to remove arsenic efficiently but is very difficult to separate or require high magnetic fields to separate out from the waste water after treatment. Anisotropic hexagonal ferrite (BaFe12O19, BHF) is a well-known permanent magnet (i.e., fridge magnets) and attractive due to its low cost in making large quantities. BHF offers a viable alternative to magnetite nanocrystals for arsenic removal since it features surfaces similar to iron oxides but with much enhanced magnetism. Herein, we employ BHF nanocrystalline materials for the first time in arsenic removal from wastewater. Our results show better (75 %) arsenic removal than magnetite of the similar sizes. The BHF nanoparticles, 6.06 ± 0.52 nm synthesized by thermolysis method at 320 °C do not show hexagonal phase, however, subsequent annealing at 750 °C produced pure hexagonal BHF in >200 nm assemblies. By using BHF, we demonstrate that nanoparticle removal is more efficient and fixed bed type cartridge applications are more possible.
  • One-pot facile synthesis of PEGylated Au nanoparticles in an aqueous media

    S. T. Camli, F. Buyukserin, C. T. Yavuz, M. S. Yavuz
    Mater. Chem. Phys., 134 (2–3), 1153–1159
    2012
    One-pot facile synthesis of PEGylated Au nanoparticles in an aqueous media
    We describe a facile protocol for the synthesis of PEGylated Au nanoparticles by simply mixing aqueous solutions of HAuCl4 and oligo(ethylene glycol) ethyl ether methacrylate. This method was applied to generate uniform multiply-twinned Au nanostructures of ∼21 nm in diameter with high yields. Our proposed mechanism indicates that the generation of primary alcohol intermediates from the nucleophilic addition reaction of water (nucleophile) with AuIII–vinyl complex is responsible for the reduction of gold ions. This protocol was also used to synthesize Ag nanoparticles and small aggregates of Pd nanoparticles. Due to the exclusion of sophisticated synthesis of PEG containing stabilizers, additional surfactants, or reducing agents, this approach provides a remarkably simple, versatile, and environmentally benign protocol to prepare PEGylated noble-metal nanocrystals. A comparative BSA adsorption study proved the lack of non-specific binding, a common obstacle in designing biocompatible nanoparticles.
  • High capacity carbon dioxide adsorption by inexpensive covalent organic polymers

    H. A. Patel, F. Karadas, A. Canlier, J. Park, E. Deniz, Y. Jung, M. Atilhan, C. T. Yavuz
    J. Mater. Chem., 22, 8431-8437
    2012
    High capacity carbon dioxide adsorption by inexpensive covalent organic polymers
    Efficient CO2 scrubbing without a significant energy penalty remains an outstanding challenge for the fossil fuel-burning industry where aqueous amine solutions are still widely used. Porous materials have long been evaluated for next generation CO2 adsorbents. Porous polymers, robust and inexpensive, show promise as feasible materials for the capture of CO2 from warm exhaust fumes. We report the syntheses of porous covalent organic polymers (COPs) with CO2 adsorption capacities of up to 5616 mg g−1 (measured at high pressures, i.e. 200 bar) and industrially relevant temperatures (as warm as 65 °C). COPs are stable in boiling water for at least one week and near infinite CO2/H2 selectivity is observed
  • Amidoximes: Promising candidates for CO2 capture

    S. Zulfiqar, F. Karadas, J. Park, E. Deniz, G. D. Stucky, Y. Jung, M. Atilhan, C. T. Yavuz
    Energy Environ. Sci., 4, 4528-4531
    2011
    Amidoximes: Promising candidates for CO2 capture
    Monoethanolamine (MEA) dominates power plant carbon dioxide (CO2) scrubbing processes, though with major disadvantages such as a 8–35% energy penalty. Here we report that structurally comparable amidoximes are promising CO2 capture agents based on RIMP2 electronic structure calculations. This was experimentally verified by the synthesis and testing of representative amidoximes for capture efficiencies at pressures as high as 180 bar. Acetamidoxime, which has the highest percent amidoxime functionality showed the highest CO2 capacity (2.71 mmol g−1) when compared to terephthalamidoxime (two amidoximes per molecule) and tetraquinoamidoxime (four amidoximes per molecule). Polyamidoxime surpassed activated charcoal Norit RB3 for CO2 capture per unit surface area. Adsorption isotherms exhibit Type IV behavior and acetamidoxime found to increase CO2 capture with temperature, a less observed anomaly. Porous amidoximes are proposed as valuable alternatives to MEA.
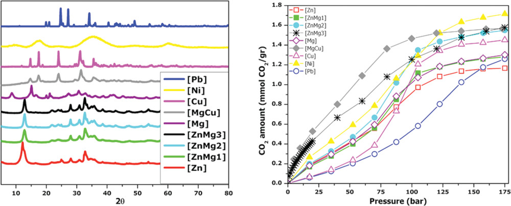
  • CO2 adsorption studies on hydroxy metal carbonates, M(CO3)x(OH)y (M= Zn, Zn-Mg, Mg, Mg-Cu, Cu, Ni, and Pb) at high pressures up to 175 bar

    F. Karadas, C. T. Yavuz, S. Zulfiqar, S. Aparicio-Martinez, G. D. Stucky, M. Atilhan
    Langmuir, 27 (17), 10642–10647
    2011
    CO2 adsorption studies on hydroxy metal carbonates, M(CO3)x(OH)y (M= Zn, Zn-Mg, Mg, Mg-Cu, Cu, Ni, and Pb) at high pressures up to 175 bar
    Carbon dioxide (CO(2)) adsorption capacities of several hydroxy metal carbonates have been studied using the state-of-the-art Rubotherm sorption apparatus to obtain adsorption and desorption isotherms of these compounds up to 175 bar. The carbonate compounds were prepared by simply reacting a carbonate (CO(3)(2-)) solution with solutions of Zn(2+), Zn(2+)/Mg(2+), Mg(2+), Cu(2+)/Mg(2+), Cu(2+), Pb(2+), and Ni(2+) metal ions, resulting in hydroxyzincite, hydromagnesite, mcguinnessite, malachite, nullaginite, and hydrocerussite, respectively. Mineral compositions are calculated by using a combination of powder XRD, TGA, FTIR, and ICP-OES analysis. Adsorption capacities of hydroxy nickel carbonate compound observed from Rubotherm magnetic suspension sorption apparatus has shown highest performance among the other components that were investigated in this work (1.72 mmol CO(2)/g adsorbent at 175 bar and 316 K).

Contact us now

Looking forward to creating value with you

Learn More >>