Proceedings

Cover Gallery

Challenges in Water Electrolyzer
Challenges in Water Electrolyzer
Ru-Embedded Carbon Fabric
Ru-Embedded Carbon Fabric
Amine Chemistry of Porous CO2 Adsorbents
Amine Chemistry of Porous CO2 Adsorbents
Boronization of Nickel Foam for Sustainable Electrochemical Reduction of Nitrate to Ammonia
Boronization of Nickel Foam for Sustainable Electrochemical Reduction of Nitrate to Ammonia
How Reproducible are Surface Areas Calculated from the BET Equation?
How Reproducible are Surface Areas Calculated from the BET Equation?
Extensive Screening of Solvent-linked Porous Polymers through Friedel-Crafts Reaction for Gas Adsorption
Extensive Screening of Solvent-linked Porous Polymers through Friedel-Crafts Reaction for Gas Adsorption
Alkyl-linked porphyrin porous polymers for gas capture and precious metal adsorption
Alkyl-linked porphyrin porous polymers for gas capture and precious metal adsorption
Quantifying the nitrogen effect on CO2 capture using isoporous network polymers
Quantifying the nitrogen effect on CO2 capture using isoporous network polymers
Direct Access to Primary Amines and Particle Morphology Control in Nanoporous CO2 Sorbents
Direct Access to Primary Amines and Particle Morphology Control in Nanoporous CO2 Sorbents
Enhanced Sorption Cycle Stability and Kinetics of CO2 on Lithium Silicates Using the Lithium Ion Channeling Effect of TiO2 Nanotubes
Enhanced Sorption Cycle Stability and Kinetics of CO2 on Lithium Silicates Using the Lithium Ion Channeling Effect of TiO2 Nanotubes
  • Phosphorus stimulated unidirectional growth of TiO2 nanostructures

    L. White, M. Kim, J. Zhang, S. Kraemer, C. T. Yavuz, M. Moskovits, A. M. Wodtke, G. D. Stucky
    J. Mater. Chem. A, 1, 6091-6098
    2013
    Phosphorus stimulated unidirectional growth of TiO2 nanostructures
    Previously reported TiO2 nanowire fabrication from Ni catalysts shows a surprising amount of phosphorous (P) contamination incorporated into the seed particle. We proposed this unintentional P-doping of Ni particles aids the mechanism for nanowire growth and occurs by an alternative pathway from the Vapor–Liquid–Solid (VLS) mechanism. To confirm this new mechanism, mixed phase NiP/Ni2P (NixPy) and Ni2P nanoparticles were fabricated and the central role of phosphorous in TiO2 nanowire synthesis confirmed. This newly developed P-assisted fabrication method yielded crystalline rutile TiO2 nanowires. In this mechanism solid, quasi-spherical catalyst particles attached to the ends of nanowires and surrounded by a Ni/P liquid shell are responsible for the nanowire growth. The growing end of the nanowire appears to form a “tangent-plane” to the solid catalyst core with the liquid shell wetting and occupying the interstice between the catalyst and the nanowire. In NixPy assisted growth, nanowire diameters occurred as small as 12.3 nm, some of the thinnest yet reported TiO2 nanowires resulting from atmospheric-pressure chemical vapor deposition (APCVD) growth.
  • A combined computational and experimental study of high pressure and supercritical CO2 adsorption on Basolite MOFs

    E. Deniz, F. Karadas, H. A. Patel, S. Aparicio, C. T. Yavuz, M. Atilhan
    Micropor. Mesopor. Mat., 175, 34-42
    2013
    A combined computational and experimental study of high pressure and supercritical CO2 adsorption on Basolite MOFs
    Metal organic frameworks (such as commercial Basolite®) display significant promise for CO2 capture and storage. Here, in order to monitor CO2 capture of Basolite®, we combined high pressure CO2 adsorption with high-pressure FTIR and Monte Carlo simulations. We found that Basolite® C300 show an unprecedented rise in capture capacity above 25 bars, as predicted by the DFT calculations. Adsorption isotherms were measured up to 200 bar using a state-of-the-art magnetic suspension balance, and in-situ FTIR studies as a function of pressure allowed characterizing the preferential adsorption sites, and their occupancy with increasing pressure. Monte Carlo molecular simulations were used to infer nanoscopic information of the adsorption mechanism, showing the sorbent–CO2 interactions from structural and energetic viewpoints.
  • Unprecedented high temperature CO2 selectivity in N2-phobic nanoporous covalent organic polymers

    H. A. Patel, S. H. Je, J. Park, D. P. Chen, Y. Jung, C. T. Yavuz, A. Coskun
    Nat. Commun., 4, 1357
    2013
    Unprecedented high temperature CO2 selectivity in N2-phobic nanoporous covalent organic polymers
    Post-combustion CO2 capture and air separation are integral parts of the energy industry, although the available technologies remain inefficient, resulting in costly energy penalties. Here we report azo-bridged, nitrogen-rich, aromatic, water stable, nanoporous covalent organic polymers, which can be synthesized by catalyst-free direct coupling of aromatic nitro and amine moieties under basic conditions. Unlike other porous materials, azo-covalent organic polymers exhibit an unprecedented increase in CO2/N2 selectivity with increasing temperature, reaching the highest value (288 at 323 K) reported to date. Here we observe that azo groups reject N2, thus making the framework N2-phobic. Monte Carlo simulations suggest that the origin of the N2 phobicity of the azo-group is the entropic loss of N2 gas molecules upon binding, although the adsorption is enthalpically favourable. Any gas separations that require the efficient exclusion of N2 gas would do well to employ azo units in the sorbent chemistry.
  • Highly stable nanoporous sulfur bridged covalent organic polymers for carbon dioxide removal

    Hasmukh A. Patel, F. Karadas, J. Byun, J. Park, E. Deniz, A. Canlier, Y. Jung, M. Atilhan, C. T. Yavuz
    Adv. Funct. Mater., 23, 2270–2276
    2013
    Highly stable nanoporous sulfur bridged covalent organic polymers for carbon dioxide removal
    Carbon dioxide capture and separation requires robust solids that can stand harsh environments where a hot mixture of gases is often found. Herein, the first and comprehensive syntheses of porous sulfur-bridged covalent organic polymers (COPs) and their application for carbon dioxide capture in warm conditions and a wide range of pressures (0–200 bar) are reported. These COPs can store up to 3294 mg g−1 of carbon dioxide at 318 K and 200 bar while being highly stable against heating up to 400 °C. The carbon dioxide capacity of the COPs is also not hindered upon boiling in water for at least one week. Physisorptive binding is prevalent with isosteric heat of adsorptions around 24 kJ mol−1. M06–2X and RIMP2 calculations yield the same relative trend of binding energies, where, interestingly, the dimer of triazine and benzene play a cooperative role for a stronger binding of CO2 (19.2 kJ mol−1) as compared to a separate binding with triazine (13.3 kJ mol−1) or benzene (11.8 kJ mol−1).
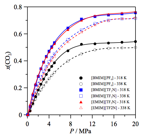
  • High pressure CO2 absorption studies on imidazolium based ionic liquids: Experimental and simulation approaches

    F. Karadas, B. Köz, J. Jacquemin, E. Deniz, D. Rooney, J. Thompson, C. T. Yavuz, M. Khraisheh, S. Aparicio, M. Atilhan
    Fluid Phase Equilibria, 351, 74–86
    2013
    High pressure CO2 absorption studies on imidazolium based ionic liquids: Experimental and simulation approaches
    A combined experimental–computational study on the CO2 absorption on 1-butyl-3-methylimidazolium hexafluophosphate, 1-ethyl-3-methylimidazolium bis[trifluoromethylsulfonyl]imide, and 1-butyl-3- methylimidazolium bis[trifluoromethylsulfonyl]imide ionic liquids is reported. The reported results allowed to infer a detailed nanoscopic vision of the absorption phenomena as a function of pressure and temperature. Absorption isotherms were measured at 318 and 338 K for pressures up to 20 MPa for ultrapure samples using a state-of-the-art magnetic suspension densimeter, for which measure- ment procedures are developed. A remarkable swelling effect upon CO2 absorption was observed for pressures higher than 10 MPa, which was corrected using a method based on experimental volumet- ric data. The experimental data reported in this work are in good agreement with available literature isotherms. Soave–Redlich–Kwong and Peng–Robinson equations of state coupled with bi-parametric van der Waals mixing rule were used for successful correlations of experimental high pressure absorp- tion data. Molecular dynamics results allowed to infer structural, energetic and dynamic properties of the studied CO2 + ionic liquids mixed fluids, showing the relevant role of the strength of anion–cation interactions on fluid volumetric properties and CO2 absorption
  • Noninvasive functionalization of polymers of intrinsic microporosity for enhanced CO2 capture

    H. A. Patel, C. T. Yavuz
    Chem. Commun., 48 (80), 9989–9991
    2012
    Noninvasive functionalization of polymers of intrinsic microporosity for enhanced CO2 capture
    Modifying sorbents for the purpose of improving carbon dioxide capture often results in the loss of surface area or accessible pores, or both. We report the first noninvasive functionalization of the polymers of intrinsic microporosity (PIMs) where inclusion of the amidoxime functionality in PIM-1 increases carbon dioxide capacity up to 17% and micropore surface area by 20% without losing its film forming ability.

Contact us now

Looking forward to creating value with you

Learn More >>